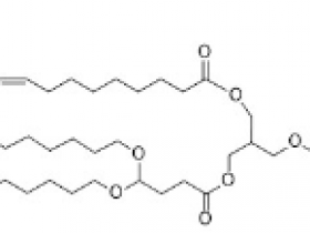
ALC-0315是一种合成的阳离子脂质(或可电离脂质)。它是一种无色油性材料,作为BioNTech和辉瑞的SARS-CoV-2疫苗BNT162b2的组成部分引起了人们的关注。具体来说,它是形成脂质纳米颗粒(LNP)的四种成分之一,其封装和保护作为这些药物活性成分的脆弱mRNA。这些纳米颗粒在体外和体内促进治疗有效核酸(如寡核苷酸或mRNA)的摄取。在生理pH下,ALC-0315在氮原子处质子化,产生铵阳离子,被信使RNA(mRNA)吸引,信使RNA(mRNA)是阴离子。
艾美捷科技作为Medkoo Biosciences全国总代理,为您推荐Medkoo Biosciences热销产品ALC-0315 (CAS:2036272-55-4)。产品仅用于科研,不可用于临床诊断。

| 产品名称 | 货号 | 详情 |
| ALC-0315 (CAS:2036272-55-4) | ALC-0315 | 查看 |
艾美捷该二氢乙锭产品为白色或浅棕色固体,特点如下:
• 可溶于 DMSO或 DMF。
• 用于细胞内超氧化物阴离子(O2n-)检测时,二氢乙n锭的推荐浓度为1-10 μM。
• 请在同一天准备使用溶液。
• 储液应该立即使用,任何未用的溶液分装小份冷冻于 < -20°C。
• 避免反复冻融,避光保存。
ALC-0315 (CAS:2036272-55-4)物理性质:
外观: 无色至淡黄色油状液体
纯度: >98%(或参考分析证书)
运输条件: 在环境温度下作为非危险化学品运输。该产品在正常运输和在海关花费的时间足够稳定几周。
储存条件: 干燥,黑暗,短期(几天至几周)为0-4°C,长期(数月至数年)为-20°C。
溶解度: 氯仿(50毫克/毫升)和乙醇(100毫克/毫升)
保质期: 如果储存得当,>2年
ALC-0315 (CAS:2036272-55-4)文献引用:
Moghimi SM. Allergic Reactions and Anaphylaxis to LNP-Based COVID-19 Vaccines. Mol Ther. 2021 Mar 3;29(3):898-900. doi: 10.1016/j.ymthe.2021.01.030. Epub 2021 Feb 5. PMID: 33571463; PMCID: PMC7862013.
MedKoo成立于2009年,一家以研发、生产和销售小分子抗癌化合物为主的医药科技公司,该公司的业务范围主要是为全球所有从事抗癌药物研究和开发的制药公司,高校,研究院所,政府相关机构提供与抗癌药物分子相关的产品、试剂和技术服务。1.5W种最前沿的抗肿瘤和抗癌小分子试剂,独家产品,其他品牌买不到。






